Содержание
Что такое конденсатор
Конденсатор или как в народе говорят — «кондер», образуются от латинского «condensatus», что означает как «уплотненный, сгущенный». Он представляет из себя пассивный радиоэлемент, который обладает таким свойством, как сохранение электрического заряда на своих обкладках, если, конечно, перед этим его зарядить каким-нибудь источником питания.
Грубо говоря, конденсатор можно рассматривать как батарейку или аккумулятор электрической энергии. Но вся разница в том, что аккумулятор или батарейка имеют в своем составе источник ЭДС, тогда как конденсатор лишен этого внутреннего источника.
Из чего состоит конденсатор
Любой конденсатор состоит из двух или более металлических обкладок, которые не соприкасаются друг с другом. Для более полного понимания, как все это устроено в конденсаторе, давайте представим себе блин.
намажем его сгущенкой
и сверху положим точно такой же блин
Должно выполняться условие: эти два блина не должны прикасаться друг с другом. То есть верхний блин должен лежать на сгущенке и не прикасаться с нижним блином. Тут, думаю, все понятно. Перед вами типичный «блинный конденсатор» :-). Вот таким образом устроены все конденсаторы, только вместо блинов используются тонкие металлические пластины, а вместо сгущенки различный диэлектрик. В качестве диэлектрика может быть воздух, бумага, электролит, слюда, керамика, и так далее. К каждой металлической пластине подсоединены проводки — это выводы конденсатора.
Схематически все это выглядит примерно вот так.
Как вы могли заметить, из-за диэлектрика конденсатор не может проводить ток. Но это относиться только к постоянному току. Переменный ток конденсатор пропускает через себя без проблем с небольшим сопротивлением, номинал которого зависит от частоты тока и емкости самого конденсатора.
Емкость конденсатора
Электрические заряды
Как вы знаете, существует два типа зарядов: положительный заряд и отрицательный заряд. Ну и все как обычно, одноименные заряды отталкивается, а разноименные — притягиваются. Физика седьмой класс).
Давайте еще раз рассмотрим простую модель конденсатора.
Если мы соединим наш конденсатор с каким-нибудь источником питания постоянного тока, то мы его зарядим. В этот момент положительные заряды, которые идут от плюса источника питания, осядут на одной пластине, а отрицательные заряды с минуса источника питания — на другой.
Самое интересное то, что количество положительных зарядов будет равняться количеству отрицательных зарядов.
Даже если мы отсоединим источник питания постоянного тока, то у нас конденсатор так и останется заряженным.
Почему так происходит?
Во-первых, заряду некуда течь. Хотя с течением времени он все равно будет разряжаться. Это зависит от материала диэлектрика.
Во-вторых, происходит взаимодействие зарядов. Положительные заряды притягиваются к отрицательным, но они не могут соединиться с друг другом, так как им мешает диэлектрик, который, как вы знаете, не пропускает электрический ток. В это время между обкладками конденсатора возникает электрическое поле, которое как раз и запасает энергию конденсатора.
Когда конденсатор заряжается, электрическое поле между обкладками становится сильнее. Соответственно, когда конденсатор разряжается, электрическое поле слабеет. Но как много заряда мы можем «впихнуть» в конденсатор? Вот здесь и применяется такое понятие, как емкость конденсатора.
Что такое емкость
Но ведь емкость может быть не только у конденсатора. Например, емкость бутылки 1 литр, или емкость бензобака — 100 литров и так далее. Мы ведь не можем впихнуть в бутылку емкость в 1 литр больше, чем рассчитана эта бутылка, так ведь? Иначе остатки жидкости просто не влезут в бутылку и будут выливаться из нее. Точно такие же дела и обстоят с конденсатором. Мы не сможем впихнуть в него заряда больше, если он не рассчитан на это. Поэтому, емкость конденсатора выражается формулой:
где
С — это емкость, Фарад
Q — количество заряда на одной из обкладок конденсатора, Кулоны
U — напряжение между пластинами, Вольты
Получается, 1 Фарад — это когда на обкладках конденсатора хранится заряд в 1 Кулон и напряжение между пластинами 1 Вольт. Емкость может принимать только положительные значения.
Значение в 1 Фарад — это слишком много. На практике в основном пользуются значениями микрофарады, нанофарады и пикофарады. Хочу вам напомнить, что приставка «микро» — это 10-6 , «нано» — это 10-9 , пико — это 10-12 .
Плоский конденсатор и его емкость
Плоским конденсатором называют конденсатор, который состоит из двух одинаковых пластин, которые параллельны друг другу. Пластины могут быть разной формы. На практике чаще всего можно встретить квадратные, прямоугольные и круглые пластины. Давайте рассмотрим простой плоский квадратный конденсатор.

где
d — расстояние между пластинами конденсатора, м
S — площадь самой наименьшей пластины, м2
ε — диэлектрическая проницаемость диэлектрика между обкладками конденсатора
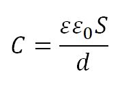
Готовая формула для плоского конденсатора будет выглядеть так:
где
С — емкость конденсатора, ф
ε — диэлектрическая проницаемость диэлектрика
ε0 — диэлектрическая постоянная, ф/м
S — площадь самой наименьшей пластины, м2
d — расстояние между пластинами, м
Да, знаю, у вас сразу возникает вопрос: «А что такое диэлектрическая постоянная?» Диэлектрическая постоянная — это постоянная величина, которая нужная для вычислений в некоторых формулах электромагнетизма. Ее значение равняется 8, 854 × 10-12 ф/м.
Диэлектрическая проницаемость — эта величина зависит от типа диэлектрика, который находится между обкладками конденсатора. Например, для воздуха и вакуума это значение равняется 1, для некоторых других веществ можете посмотреть в таблице.
Какой можно сделать вывод из этой формулы? Хотите сделать конденсатор с огромной емкостью, делайте площадь пластин как можно больше, расстояние между пластинами как можно меньше и заправляйте вместо диэлектрика дистиллированную воду.
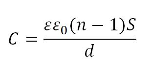
В настоящее время конденсаторы делают из нескольких пластин в виде слоеного торта. Это примерно выглядит вот так.

В этом случае формула такого конденсатора примет вид:

где n — это количество пластин
Максимальное рабочее напряжение на конденсаторе
Все конденсаторы имеют какое-то предельное напряжение, которое можно на них подавать. Дело все в том, что может произойти пробой диэлектрика, и конденсатор выйдет из строя. Чаще всего это напряжение пишут на самом корпусе конденсатора. Например, на электролитическом конденсаторе.

В технической документации этот параметр чаще всего обозначается, как WV, что с английского Working Voltage (рабочее напряжение), или DC WV — Direct Current Working Voltage — постоянное рабочее напряжение конденсатора.
Здесь есть один нюанс, о котором часто забывают. Дело в том, что на конденсаторе написано именно на какое постоянное напряжение он рассчитан, а не переменное. Если такой конденсатор, как на рисунке выше, с максимальным рабочим напряжением в 50 Вольт вставите в цепь переменного тока с источником питания, который выдает 50 Вольт переменного тока, то ваш конденсатор взорвется. Так как 50 Вольт переменного тока — это действующее напряжение. Его максимальное значение будет 50 × √2 = 70,7 Вольт, что намного больше, чем 50 Вольт.
Ток утечки конденсатора
Дело все в том, что какой бы ни был диэлектрик, конденсатор все равно рано или поздно разрядится, так как через диэлектрик, как ни странно, все равно течет ток. Величина этого тока у разных конденсаторов тоже разная. Электролитические конденсаторы обладают самым большим током утечки.
Также ток утечки зависит от напряжения между обкладками конденсатора. Здесь уже работает закон Ома: I=U/Rдиэлектрика . Поэтому, никогда не стоит подавать напряжение больше, чем максимально рабочее напряжение, прописанное в даташите или на самом конденсаторе.
Неполярные конденсаторы
К неполярным конденсаторам относят конденсаторы, для которых неважна полярность. Такие конденсаторы обладают симметричностью. Обозначение неполярных конденсаторов на электросхемах выглядит вот так.

Конденсаторы переменной емкости
Эти виды конденсаторов имеют воздушный диэлектрик и могут менять свою емкость под действием внешней силы, например, такой как рука человека. Ниже на фото советские типы таких переменных конденсаторов.

Современные выглядят чуточку красивее


подстроечные конденсаторыПеременный конденсатор от подстроечного отличается лишь тем, что переменный конденсатор крутят чаще, чем подстроечный. Подстроечный крутят раз в жизни)
На схемах обозначаются так.

Слева -переменный, справа — подстроечный.
Пленочные конденсаторы
Пленочные конденсаторы являются самыми распространенными в большом семействе конденсаторов. Они названы так потому, что вместо диэлектрика здесь используется тонкая пленка, которая может состоять из полиэстера, полипропилена, поликарбоната, тефлона и много еще из чего. Такие конденсаторы идут от номинала 5 пФ и до 100 мкФ. Они могут быть сделаны по принципу бетерброда
А также по принципу рулета
Давайте рассмотрим К73-9 советский пленочный конденсатор.

Что же у него внутри? Смотрим.
Как и ожидалось, рулончик из фольги с диэлектриком-пленкой

Керамические конденсаторы
Керамические конденсаторы — это конденсаторы, которые изготавливают из керамики или фарфора, которые покрывают серебром. Берут диск квадратной или круглой формы, напыляют с с двух сторон серебро, выводят выводы и вуаля! Конденсатор готов! То есть и есть самый простой плоский конденсатор, о котором мы говорили выше в этой статье.
Хотите получишь емкость больше? Не вопрос! Складываем диски в бутерброд и увеличиваем емкость
Выглядеть керамические конденсаторы могут вот так:


SMD конденсаторы
SMD конденсаторы — это керамические конденсаторы, которые построены по принципу бутерброда.

Они используются в микроэлектронике, так как обладают крошечными размерами и удобны в плане промышленного производства с помощью роботов, которые автоматически расставляют SMD компоненты на плату.Такой тип конденсаторов вы без труда можете найти на платах своих мобильных телефонов, на материнских платах компьютеров, а также в современных гаджетах.
Полярные конденсаторы
Для полярных конденсаторов очень важно не путать выводы местами при монтаже. Плюсовая ножка должны подключаться к плюсу на схеме, а минусовая — к минусу. Обозначается полярные конденсаторы также, как и их собратья. Единственное отличие — это указание полярности такого конденсатора. Выглядеть на схемах они могут вот так.

Электролитические конденсаторы
Электролитические конденсаторы используется в электронике и электротехнике, где требуются большие значения емкости. Также повелось название «электролиты».

Строение электролитических конденсаторов очень похоже на пленочные конденсаторы, которые также собраны по принципу рулета, но с одной только разницей. Вместо диэлектрика здесь используется оксид алюминия.

Давайте разберем один из таких электролитических конденсаторов во благо науки.
Снимаем его корпус и видим тот самый рулетик
Разматываем «рулетик» и видим, что между двумя обкладками металлической фольги у нас находится бумага, пропитанная каким-то раствором.

Некоторые ошибочно полагают, что бумага — это и есть тот самый диэлектрик, хотя это в корне неверно. Как она может быть диэлектриком, если она смочена в растворе, который проводит электрический ток?
На самом же деле диэлектриком в данном случае является тончайший слой оксида алюминия, который производится электрохимическим способом еще на производстве. Все это выглядит приблизительно вот так:

Слой оксида алюминия настолько тонкий, что можно изготавливать конденсаторы бешеной емкости с малыми габаритами. Вы ведь не забыли формулу емкости для плоского конденсатора?
где d — это и есть тот самый слой оксида алюминия. Чем он тоньше, тем больше емкость.
На полярных конденсаторах часто можно увидеть вот такой значок-стрелку, которая указывает на минусовый вывод конденсатора.

То есть в электрических схемах с постоянным током вы должны обязательно соблюдать правило: плюс на плюс, а минус на минус. Если перепутаете, то конденсатор может бахнуть.
Танталовые конденсаторы
Танталовые конденсаторы доступны как в мокром так и в сухом исполнении. Хотя, в сухом исполнении они намного более распространены. Здесь в качестве диэлектрика используется оксид тантала. Оксид тантала обладает более лучшими свойствами, по сравнению с оксидом алюминия. Если самый большой минус электролитических конденсаторов — это их большой ток утечки, то танталовые конденсаторы лишены такого недостатка. Минус танталовых конденсаторов в том, что они рассчитаны на более низкое напряжение, чем их собраться — электролиты. Танталовые конденсаторы также полярные, как и электролитические конденсаторы.
Выглядеть танталовые конденсаторы могут вот так

ну или так

[quads id=1]
Ионисторы
Есть также особый класс конденсаторов — ионисторы. Иногда их еще называют суперконденсаторами или золотыми конденсаторами. Нет, не потому, что там есть золото. Сам принцип работы ионистора ценее, чем золото. Для того, чтобы получить максимальную емкость мы должны намазать «сгущенку»(диэлектрик) тонким-тонким слоем или увеличить площадь блинов (металлических пластин). Так как без конца увеличивать слой блинов очень затратно, разработчики решили уменьшить слой диэлектрика. Так как диэлектрический слой между обкладками ионистора , то есть «слой сгущенки», составляет 5-10 нанометров, следовательно емкость ионистора достигает впечатляющих значений! Вы только представьте, какой заряд может накопить такой суперконденсатор!
Емкость таких конденсаторов может достигать до десятка фарад. Поверьте, это очень много. Ионисторы выглядят, как обычные таблетки, а также могут выглядеть как цилиндрические конденсаторы. Для того, чтобы различить их от конденсаторов, достаточно взглянуть на емкость, которая на них указана. Если там единицы Фарад, то это однозначно ионистор!


В настоящее время ионисторы стали очень широко применяться в электронике и электротехнике. Они заменяют маленькие батарейки с малым напряжением, потому что ионистор конструктивно пока что не могут сделать на напряжение более нескольких Вольт. Но можно соединить их последовательно и набрать нужное напряжение. Но удовольствие это не дешевое :-).
Они также очень быстро заряжаются, так как их сопротивление ограничено только их выводами. А исходя из закона Ома, чем меньше сопротивление проводника, тем большая сила тока течет по нему и следовательно тем быстрее заряжается ионистор. Заряжать и разряжать ионисторы можно почти бесконечно.
Конденсатор в цепи постоянного тока
Итак, берем блок питания постоянного напряжения и выставляем на его крокодилах напряжение 12 Вольт. Лампочку берем тоже на 12 Вольт. Теперь в разрыв цепи вставляем конденсатор.
Нет, лампочка не горит.
А вот если исключить конденсатор из цепи и подключить напрямую к лампочке, то лампа горит.
Отсюда напрашивается вывод: постоянный ток через конденсатор не течет! То есть в цепи постоянного тока идеальный конденсатор оказывает бесконечно большое сопротивление.
Если честно, то в самый начальный момент подачи напряжения ток все-таки течет на доыли секунды. Все зависит от емкости конденсатора.
Конденсатор в цепи переменного тока
Для того, чтобы узнать, как ведет себя конденсатор в цепи переменного тока, нам надо собрать простейшую схему, которая представляет из себя делитель напряжения. Смысл опыта такой: с помощью генератора частоты мы будем менять только частоту, а амплитуду оставим неизменной. По сути красная точка нам будет показывать сигнал с генератора частоты, а желтая — сигнал на резисторе. Снимая сигнал с резистора, мы можем косвенно узнать, как ведет себя конденсатор исходя из законов делителя напряжения.
С помощью осциллографа мы будем снимать сигнал с красной и желтой точек относительно земли.
Думаю, этот генератор частоты вполне пойдет.
Для начала возьмем конденсатор на 1мкФ и резистор на 100 ом.
Далее за дело берется цифровой осциллограф OWON SDS 6062. Что такое осциллограф и с чем его едят, читаем здесь. Будем использовать сразу два канала, то есть на одном экране будут высвечиваться сразу два сигнала. Здесь на экране уже видны наводки от сети 220 Вольт. Не стоит на это обращать внимание.
Красная осциллограмму снимаем с красной точки в цепи, а желтую — с желтой точки в цепи.
Зависимость сопротивления от частоты и сдвиг фаз
Поехали. Итак, если у нас частота нулевая, то это значит постоянный ток. Постоянный ток, как мы уже видели, конденсатор не пропускает. С этим вроде бы разобрались. Но что будет, если подать переменный ток с частотой в 100 Герц?
[quads id=1]
На дисплее осциллографа были выведены такие параметры, как частота сигнала и его амплитуда (эти параметры помечены белой стрелочкой).
F — это частота
Ma — амплитуда
Красная синусоида показывает сигнал, который выдает нам китайский генератор частоты. Желтая синусоида — это то, что мы уже получаем на нагрузке. В нашем случае нагрузкой является резистор. Ну вот, собственно, и все.
Как вы видите на осциллограмме, с генератора выходит синусоидальный сигнал с частотой в 100 Герц и амплитудой в 2 Вольта, а на резисторе напряжение всего каких-то 136 мВ.
Как вы могли заметить, амплитуда желтого сигнала стала меньше. Это говорит нам о том, что конденсатор стал пропускать переменный ток, но его сопротивление до сих пор очень большое.
Но здесь можно заметить еще одну особенность: осциллограмма напряжения на резисторе сигнала сдвинулась влево, то есть она опережает сигнал с генератора частоты, или научным языком, появляется сдвиг фаз. Опережает именно фаза, а не сам сигнал. Если бы опережал сам сигнал, то у нас бы тогда получилось, что сигнал на резисторе появлялся бы по времени раньше, чем сигнал, поданный на него через конденсатор. Получилось бы какое-те перемещение во времени :-), что конечно же, невозможно.
Сдвиг фаз — это разность между начальными фазами двух измеряемых величин. В данном случае — напряжения. Для того, чтобы произвести замер сдвига фаз, должно быть условие, что у этих сигналов одна и та же частота. Амплитуда может быть любой. Ниже на рисунке приведен этот самый сдвиг фаз или, как еще его называют, разность фаз:
Давайте увеличим частоту на генераторе до 500 Гц
На резисторе уже получили 560 мВ. Сдвиг фаз уменьшается. Получается, что мы чуть-чуть увеличили частоту, и сопротивление конденсатора стало меньше.
Увеличиваем частоту до 1 КГц
На резисторе у нас напряжение 1 Вольт. Напряжение не резисторе растет с увеличением частоты. Это говорит о том, что сопротивление конденсатора стало еще меньше.
Ставим частоту 5 КГц
Амплитуда 1,84 Вольта и сдвиг фаз явно становится меньше
Увеличиваем до 10 КГц
Амплитуда уже почти такая же как и на входе. Сдвиг фаз менее заметен.
Ставим 100 КГц.
Сдвига фаз почти нет. Напряжение не резисторе почти сравнялось с напряжением генератора частоты. Это говорит о том, что конденсатор почти не оказывает сопротивление на высоких частотах.
Получился парадокс. Постоянный ток конденсатор не пропускает, а вот токи высокой частоты — без проблем!
Отсюда делаем глубокомысленные выводы:
Чем больше частота, тем меньшее сопротивление конденсатор оказывает переменному току. Сдвиг фаз убывает с увеличением частоты почти до нуля. На бесконечно низких частотах его величина составляет 90 градусов или π/2.
Если построить обрезок графика, то получится типа что-то этого:
Зависимость сопротивления от номинала конденсатора
Итак, мы с вами узнали, что сопротивление конденсатора зависит от частоты. Но только ли от частоты? Давайте возьмем конденсатор емкостью в 0,1 микрофарад, то есть номиналом в 10 раз меньше, чем предыдущий и снова прогоним по этим же частотам.
Смотрим и анализируем значения:
Внимательно сравните амплитудные значения желтого сигнала на одной и той же частоте, но с разными номиналами конденсатора. Например, на частоте в 100 Гц и номиналом конденсатора в 1 мкФ амплитуда желтого сигнала равнялась 136 милливольт, а на этой же самой частоте амплитуда желтого сигнала, но с конденсатором в 0,1 мкФ уже была 101 милливольт (в реальности еще меньше из за помех). На частоте 500 Герц — 560 милливольт и 106 милливольт соответственно, на частоте в 1 Килогерц — 1 Вольт и 136 милливольт и так далее.
Отсюда вывод напрашивается сам собой: при уменьшении номинала конденсатора его сопротивление становится больше.
Формула сопротивления конденсатора
С помощью физико-математических преобразований физики и математики вывели формулу для расчета сопротивления конденсатора. Прошу любить и жаловать:
где, ХС — это сопротивление конденсатора, Ом
П — постоянная и равняется приблизительно 3,14
F — частота, измеряется в Герцах
С — емкость, измеряется в Фарадах
Так вот, поставьте в эту формулу частоту в ноль Герц. Частота в ноль Герц — это и есть постоянный ток. Что получится? 1/0=бесконечность или очень большое сопротивление. Короче говоря, обрыв цепи.
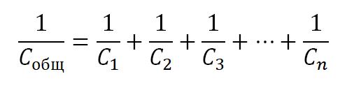
Последовательное и параллельное соединение конденсаторов
При последовательном соединении конденсаторов

Их общая емкость будет вычисляться по формуле

а при параллельном соединении

их общая емкость будет вычисляться по формуле

Также в интернете нашел очень интересное видео по теме конденсаторов
Похожие статьи по теме «конденсатор»














































