Содержание
Слово «трансформатор» образуется от английского слова «transform» — преобразовывать, изменяться. Но дело в том, что сам трансформатор не может как-либо измениться либо поменять форму и так далее. Он обладает еще более удивительный свойством — преобразует переменное напряжение одного значения в переменное напряжение другого значения. Ну разве это не чудо? В этой статье мы будем рассматривать именно трансформаторы напряжения.
Трансформатор напряжения
Трансформатор напряжения можно отнести больше к электротехнике, чем к электронике. Самый обыкновенный однофазный трансформатор напряжения выглядит вот так.
Если откинуть верхнюю защиту трансформатора, то мы можем четко увидеть, то он состоит из какого-то железного каркаса, который собран из металлических пластин, а также из двух катушек, которые намотаны на этот железный каркас. Здесь мы видим, что из одной катушки выходит два черных провода
а с другой катушки два красных провода
Эти обе катушки одеваются на сердечник трансформатора. То есть в результате мы получаем что-то типа этого
Ничего сложного, правда ведь?
Но дальше самое интересное. Если подать на одну из этих катушек переменное напряжение, то в другой катушке тоже появляется переменное напряжение. Но как же так возможно? Ведь эти обмотки абсолютно не касаются друг друга и они изолированы друг от друга. Во чудеса! Все дело, в так называемой электромагнитной индукции.
Если объяснить простым языком, то когда на первичную обмотку подают переменное напряжение, то в сердечнике возникнет переменное магнитное поле с такой же частой. Вторая катушка улавливает это переменное магнитное поле и уже выдает переменное напряжение на своих концах.
Обмотки трансформатора
Эти самые катушки с проводом в трансформаторе называются обмотками. В основном обмотки состоят из медного лакированного провода. Такой провод находится в лаковой изоляции, поэтому, провод в обмотке не коротит друг с другом. Выглядит такой обмоточный трансформаторный провод примерно вот так.
Он может быть разного диаметра. Все зависит от того, на какую нагрузку рассчитан тот или иной трансформатор.
У самого простого однофазного трансформатора можно увидеть две такие обмотки.
Обмотка, на которую подают напряжение называется первичной. В народе ее еще называют «первичка». Обмотка, с которой уже снимают напряжение называется вторичной или «вторичка».
Для того, чтобы узнать, где первичная обмотка, а где вторичная, достаточно посмотреть на шильдик трансформатора.
I/P: 220М50Hz (RED-RED) — это говорит нам о том, что два красных провода — это первичная обмотка трансформатора, на которую мы подаем сетевое напряжение 220 Вольт. Почему я думаю, что это первичка? I/P — значит InPut, что в переводе «входной».
O/P: 12V 0,4A (BLACK, BLACK) — вторичная обмотка трансформатора с выходным напряжением в 12 Вольт (OutPut). Максимальная сила тока, которую может выдать в нагрузку этот трансформатор — это 0,4 Ампера или 400 мА.
Как работает трансформатор
Чтобы разобраться с принципом работы, давайте рассмотрим рисунок.
Здесь мы видим простую модель трансформатора. Подавая на вход переменное напряжение U1 в первичной обмотке возникает ток I1 . Так как первичная обмотка намотана на замкнутый магнитопровод, то в нем начинает возникать магнитный поток, который возбуждает во вторичной обмотке напряжение U2 и ток I2 . Как вы можете заметить, между первичной и вторичной обмотками трансформатора нет электрического контакта. В электронике это называется гальванически развязаны.
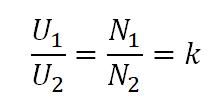
Формула трансформатора
Главная формула трансформатора выглядит так.
где
U2 — напряжение на вторичной обмотке
U1 — напряжение на первичной обмотке
N1 — количество витков первичной обмотки
N2 — количество витков вторичной обмотки
k — коэффициент трансформации
В трансформаторе соблюдается также закон сохранения энергии, то есть какая мощность заходит в трансформатор, такая мощность выходит из трансформатора:
Эта формула справедлива для идеального трансформатора. Реальный же трансформатор будет выдавать на выходе чуть меньше мощности, чем на его входе. КПД трансформаторов очень высок и порой составляет даже 98%.
Типы трансформаторов по конструкции
Однофазные трансформаторы
Это трансформаторы, которые преобразуют однофазное переменное напряжение одного значения в однофазное переменное напряжение другого значения.
В основном однофазные трансформаторы имеют две обмотки, первичную и вторичную. На первичную обмотку подают одно значение напряжения, а со вторичной снимают нужное нам напряжение. Чаще всего в повседневной жизни можно увидеть так называемые сетевые трансформаторы, у которых первичная обмотка рассчитана на сетевое напряжение, то есть 220 В.
На схемах однофазный трансформатор обозначается так:
Первичная обмотка слева, а вторичная — справа.
Иногда требуется множество различных напряжений для питания различных приборов. Зачем ставить на каждый прибор свой трансформатор, если можно с одного трансформатора получить сразу несколько напряжений? Поэтому, иногда вторичных обмоток бывает несколько пар, а иногда даже некоторые обмотки выводят прямо из имеющихся вторичных обмоток. Такой трансформатор называется трансформатором со множеством вторичных обмоток. На схемах можно увидеть что-то подобное:
Трехфазные трансформаторы
Эти трансформаторы в основном используются в промышленности и чаще всего превосходят по габаритам простые однофазные трансформаторы. Почти все трехфазные трансформаторы считаются силовыми. То есть они используются в цепях, где нужно питать мощные нагрузки. Это могут быть станки ЧПУ и другое промышленное оборудование.
На схемах трехфазные трансформаторы обозначаются вот так:
Первичные обмотки обозначаются заглавными буквами, а вторичные обмотки — маленькими буквами.
Здесь мы видим три типа соединения обмоток (слева-направо)
- звезда-звезда
- звезда-треугольник
- треугольник-звезда
В 90% случаев используется именно звезда-звезда.
Типы трансформаторов по напряжению
Понижающий трансформатор
Это трансформатор, которые понижает напряжение. Допустим, на первичную обмотку мы подаем 220 Вольт, а снимаем 12 Вольт. В этом случае коэффициент трансформации (k) будет больше 1.
Повышающий трансформатор
Это трансформатор, который повышает напряжение. Допустим, на первичную обмотку мы подаем 10 Вольт, а со вторичной снимаем уже 110 В. То есть мы повысили наше напряжение 11 раз. У повышающих трансформаторов коэффициент трансформации меньше 1.
Разделительный или развязывающий трансформатор
Такой трансформатор используется в целях электробезопасности. В основном это трансформатор с одинаковым числом обмоток на входе и выходе, то есть его напряжение на первичной обмотке будет равняться напряжению на вторичной обмотке. Нулевой вывод вторичной обмотки такого трансформатора не заземлен. Поэтому, при касании фазы на таком трансформаторе вас не ударит электрическим током. Про его использование можете прочесть в статье про ЛАТР. У развязывающих трансформаторов коэффициент трансформации равен 1.
Согласующий трансформатор
Такой трансформатор используется для согласования входного и выходного сопротивления между каскадами схем.
Работа понижающего трансформатора на практике
Понижающий трансформатор — это такой трансформатор, который выдает на выходе напряжение меньше, чем на входе. Коэффициент трансформации (k) у таких трансформаторов больше 1 . Понижающие трансформаторы — это самый распространенный класс трансформаторов в электротехнике и электронике. Давайте же рассмотрим, как он работает на примере трансформатора 220 В —> 12 В .
Итак, имеем простой однофазный понижающий трансформатор.
Именно на нем мы будем проводить различные опыты.
Подключаем красную первичную обмотку к сети 220 Вольт и замеряем напряжение на вторичной обмотке трансформатора без нагрузки. 13, 21 Вольт, хотя на трансформаторе написано, что он должен выдавать 12 Вольт.
Теперь подключаем нагрузку на вторичную обмотку и видим, что напряжение просело.
Интересно, какую силу тока кушает наша лампа накаливания? Вставляем мультиметр в разрыв цепи и замеряем.
Если судить по шильдику, то на нем написано, что он может выдать в нагрузку 400 мА и напряжение будет 12 Вольт, но как вы видите, при нагрузку близкой к 400 мА у нас напряжение просело почти до 11 Вольт. Вот тебе и китайский трансформатор. Нагружать более, чем 400 мА его не следует. В этом случае напряжение просядет еще больше, и трансформатор будет греться, как утюг.
Как проверить трансформатор
Как проверить на короткое замыкание обмоток
Хотя обмотки прилегают очень плотно к друг другу, их разделяет лаковый диэлектрик, которым покрываются и первичная и вторичная обмотка. Если где-то возникло короткое замыкание между проводами, то трансформатор будет сильно греться или издавать сильный гул при работе. Также он будет пахнуть горелым лаком. В этом случае стоит замерить напряжение на вторичной обмотке и сравнить, чтобы оно совпадало с паспортным значением.
Проверка на обрыв обмоток
При обрыве все намного проще. Для этого с помощью мультиметра мы проверяем целостность первичной и вторичной обмотки. Итак, сопротивление первичной обмотки нашего трансформатора чуть более 1 КОм. Значит обмотка целая.
Таким же образом проверяем и вторичную обмотку.
Отсюда делаем вывод, что наш трансформатор жив и здоров.
Похожие статьи по теме «трансформатор»
Лабораторный автотрансформатор (ЛАТР)
































